Упр.17.7 ГДЗ Мерзляк 11 класс Углубленный уровень (Алгебра)
Решение #1

Рассмотрим вариант решения задания из учебника Мерзляк, Номировский, Поляков 11 класс, Вентана-Граф, Просвещение:
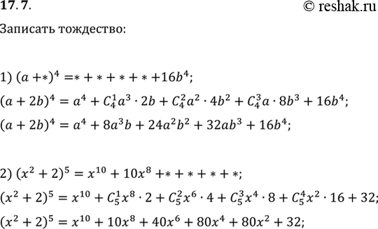
17.7. Замените звёздочки такими одночленами, чтобы образовалось тождество:
1) (а+*)^4=*+*+*+*+16b^4;
2) (*+*)^5=x^10+10x^8+*+*+*+*.
*размещая тексты в комментариях ниже, вы автоматически соглашаетесь с пользовательским соглашением