Упр.164 ГДЗ Колягин Ткачёва 11 класс (Алгебра)
Решение #1
Решение #2

Рассмотрим вариант решения задания из учебника Колягин, Ткачёва, Фёдорова 11 класс, Просвещение:
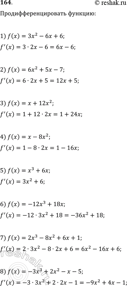
164. Продифференцировать функцию:
1) 3х2 - 6х + 6;
2) 6x2 + 5x - 7;
3) х+ 12x2;
4) x - 8x2;
5) х8 + 6х;
6) -12х3+ 18х;
7) 2x3 - 8x2 + 6x + 1;
8) -3x3 + 2x2 - x - 5.
*размещая тексты в комментариях ниже, вы автоматически соглашаетесь с пользовательским соглашением