Упр.157 ГДЗ Колягин Ткачёва 10 класс (Алгебра)
Решение #1
Решение #2

Рассмотрим вариант решения задания из учебника Колягин, Ткачёва, Фёдорова 10 класс, Просвещение:
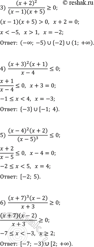
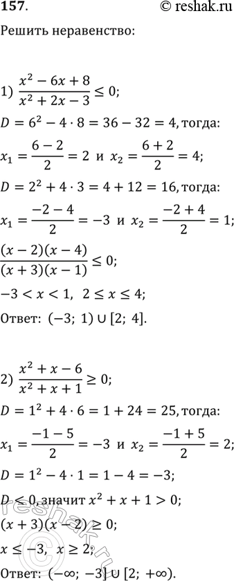
157.Методом интервалов решить неравенство:
1) (х2-6х+8)/(х2+2х-30х)<=0; 2) (x2+x-6)/(x2+x+1)>=0; 3) (x+2)^2 / (x-1)(x+5)>=0;
4)(x+3)^2(x+1)/(x-4)<=0; 5)(x-4)^2(x+2)/(x-5)^3<=0; 6)(x+7)^3(x-2)/(x+3)>=0.
*размещая тексты в комментариях ниже, вы автоматически соглашаетесь с пользовательским соглашением