Упр.153 ГДЗ Колягин Ткачёва 10 класс (Алгебра)
Решение #1
Решение #2

Рассмотрим вариант решения задания из учебника Колягин, Ткачёва, Фёдорова 10 класс, Просвещение:
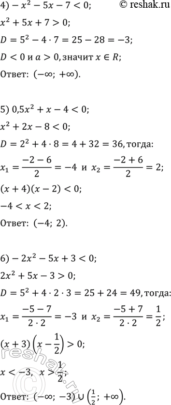
153. 1) x2 - 12x + 36 < 0; 2)С…2+x+1/4<=0; 3)-x2+3x-4>=0;
4)-С…2-5С…-7< 0; 5)0,5x2 +x-4<0; 6)-2x2-5x+3<0.
*размещая тексты в комментариях ниже, вы автоматически соглашаетесь с пользовательским соглашением