Упр.15.7 ГДЗ Мерзляк 11 класс Углубленный уровень (Алгебра)
Решение #1

Рассмотрим вариант решения задания из учебника Мерзляк, Номировский, Поляков 11 класс, Вентана-Граф, Просвещение:
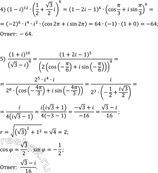
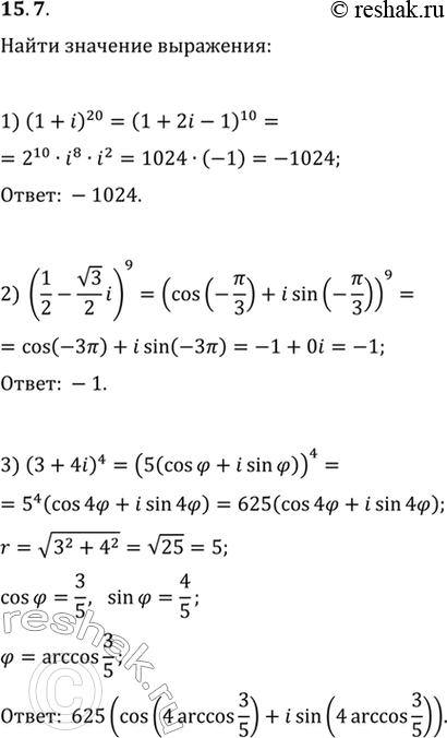
15.7. Найдите значение выражения:
1) (1+i)^20; 3) (3+4i)^4; 5) (1+i)^10/(v3-i)^8.
2) (1/2-v3/2 i)^9; 4) (1-i)^12 (1/2+v3/2 i)^6;
*размещая тексты в комментариях ниже, вы автоматически соглашаетесь с пользовательским соглашением