Упр.15.23 ГДЗ Мерзляк 11 класс Углубленный уровень (Алгебра)
Решение #1

Рассмотрим вариант решения задания из учебника Мерзляк, Номировский, Поляков 11 класс, Вентана-Граф, Просвещение:
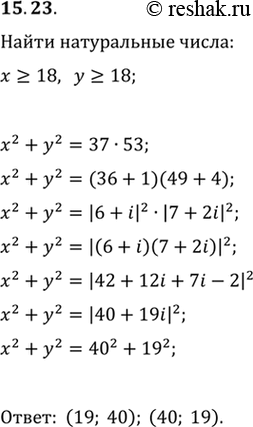
15.23. Найдите такие натуральные числа x>18 и y>18, что x^2+y^2=37·53.
*размещая тексты в комментариях ниже, вы автоматически соглашаетесь с пользовательским соглашением