Упр.15.1 ГДЗ Мордкович Семенов 8 класс (Алгебра)
Решение #1

Рассмотрим вариант решения задания из учебника Мордкович, Семенов, Александрова 8 класс, Бином:
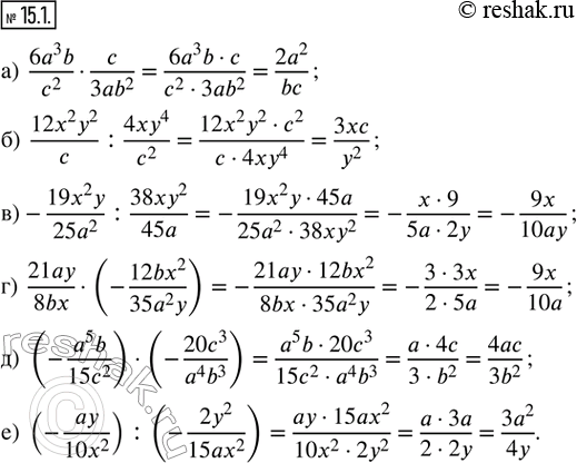
15.1. Выполните умножение (деление) алгебраических дробей:
а) (6a^3 b)/c^2 · c/(3ab^2);
б) (12x^2 y^2)/c : (4xy^4)/c^2;
в) -(19x^2 y)/(25a^2) : (38xy^2)/45a;
г) 21ay/8bx · (-(12bx^2)/(35a^2 y));
д) (-(a^5 b)/(15c^2 )) · (-(20c^3)/(a^4 b^3));
е) (-ay/(10x^2)) : (-(2y^2)/(15ax^2)).
*размещая тексты в комментариях ниже, вы автоматически соглашаетесь с пользовательским соглашением