Упр.14.8 ГДЗ Мордкович Семенов 8 класс (Алгебра)
Решение #1

Рассмотрим вариант решения задания из учебника Мордкович, Семенов, Александрова 8 класс, Бином:
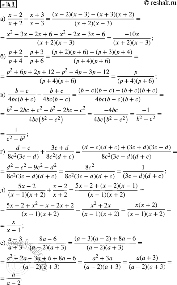
14.8. Упростите выражение:
а) (x - 2)/(x + 2) - (x + 3)/(x - 3);
б) (p + 2)/(p + 4) - (p + 3)/(p + 6);
в) (b - c)/(4bc(b + c)) - (b + c)/(4bc(b - c));
г) (d - c)/(8c^2 (3c - d)) + (3c + d)/(8c^2 (d + c));
д) (5x - 2)/((x - 1)(x + 2)) + (x - 2)/(x + 2);
е) (a - 3)/(a + 3) + (8a - 6)/((a - 2)(a + 3)).
*размещая тексты в комментариях ниже, вы автоматически соглашаетесь с пользовательским соглашением