Упр.14.8 ГДЗ Мерзляк 11 класс Углубленный уровень (Алгебра)
Решение #1

Рассмотрим вариант решения задания из учебника Мерзляк, Номировский, Поляков 11 класс, Вентана-Граф, Просвещение:
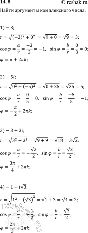
14.8. Найдите все аргументы комплексного числа:
1) -3; 2) -5i; 3) -3+3i; 4) -1+iv3.
*размещая тексты в комментариях ниже, вы автоматически соглашаетесь с пользовательским соглашением