Упр.14.7 ГДЗ Мерзляк 11 класс Углубленный уровень (Алгебра)
Решение #1

Рассмотрим вариант решения задания из учебника Мерзляк, Номировский, Поляков 11 класс, Вентана-Граф, Просвещение:
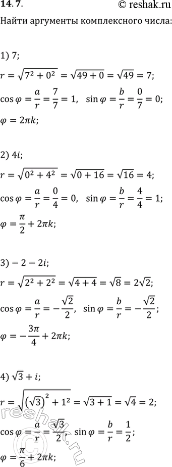
14.7. Найдите все аргументы комплексного числа:
1) 7; 2) 4i; 3) -2-2i; 4) v3+i.
*размещая тексты в комментариях ниже, вы автоматически соглашаетесь с пользовательским соглашением