Упр.14.11 ГДЗ Мерзляк 11 класс Углубленный уровень (Алгебра)
Решение #1

Рассмотрим вариант решения задания из учебника Мерзляк, Номировский, Поляков 11 класс, Вентана-Граф, Просвещение:
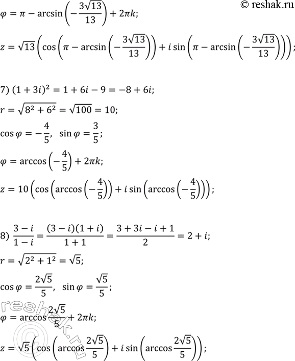
14.11. Запишите в тригонометрической форме комплексное число:
1) -3; 3) -3+3i; 5) 2-i; 7) (1+3i)^2;
2) -5i; 4) -1+v3i; 5) -2-3i; 8) (3-i)/(1-i).
*размещая тексты в комментариях ниже, вы автоматически соглашаетесь с пользовательским соглашением