Упр.14 ГДЗ Колягин Ткачёва 10 класс (Алгебра)
Решение #1
Решение #2

Рассмотрим вариант решения задания из учебника Колягин, Ткачёва, Фёдорова 10 класс, Просвещение:
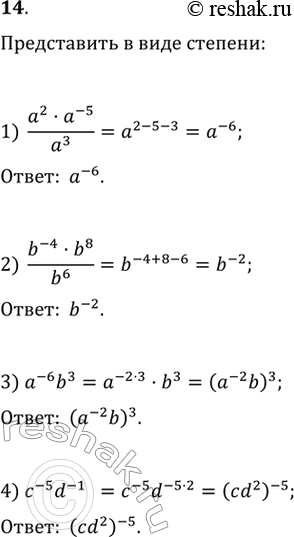
Представить в виде степени:
1) (a2-a^-5)/a3;
2) (b^-4*b8)/b6;
3) a^-6b3;
4) c^-5d10.
*размещая тексты в комментариях ниже, вы автоматически соглашаетесь с пользовательским соглашением