Упр.138 ГДЗ Колягин Ткачёва 8 класс (Алгебра)
Решение #1

Рассмотрим вариант решения задания из учебника Колягин, Ткачёва, Фёдорова 8 класс, Просвещение:
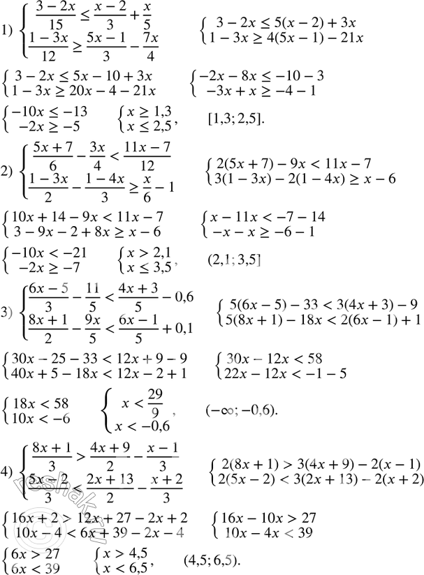
138. Решить систему неравенств:
1) {((3-2x)/15?(x-2)/3+x/5
(1-3x)/12?(5x-1)/3-7x/4)+
2) {((5x+7)/6-3x/4<(11x-7)/12
(1-3x)/2-(1-4x)/3?x/6-1)+
3) {((6x-5)/3-11/5<(4x+3)/5-0,6
(8x+1)/2-9x/5<(6x-1)/5+0,1)+
4) {((8x+1)/3>(4x+9)/2-(x-1)/3
(5x-2)/3<(2x+13)/2-(x+2)/3)+
*размещая тексты в комментариях ниже, вы автоматически соглашаетесь с пользовательским соглашением