Упр.137 ГДЗ Колягин Ткачёва 10 класс (Алгебра)
Решение #1
Решение #2

Рассмотрим вариант решения задания из учебника Колягин, Ткачёва, Фёдорова 10 класс, Просвещение:
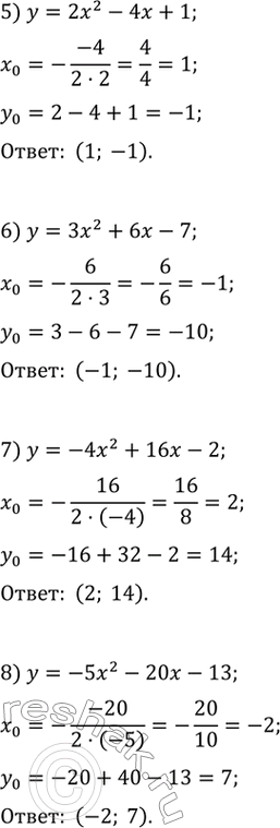
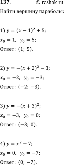
137. Найти координаты вершины параболы:
1) у=(х - I)^2 + 5; 2) у = -(х + 2)^2 - 3; 3) у = -(х + З)^2;
4)у = х2 - 7; 5) у = 2х2 — 4х + 1; 6) у = Зх2 + 6х - 7;
7) у = -4х2 + 16х - 2; 8)у=-5х2 - 20х - 13.
*размещая тексты в комментариях ниже, вы автоматически соглашаетесь с пользовательским соглашением