Упр.13.7 ГДЗ Мерзляк 11 класс Углубленный уровень (Алгебра)
Решение #1

Рассмотрим вариант решения задания из учебника Мерзляк, Номировский, Поляков 11 класс, Вентана-Граф, Просвещение:
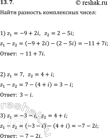
13.7. Найдите разность комплексных чисел z_1 и z_2, если:
1) z_1=-9+2i, z_2=2-5i;
2) z_1=7, z_2=4+i;
3) z_1=-3-i, z_2=4+i.
*размещая тексты в комментариях ниже, вы автоматически соглашаетесь с пользовательским соглашением