Упр.13.5 ГДЗ Мерзляк 11 класс Углубленный уровень (Алгебра)
Решение #1

Рассмотрим вариант решения задания из учебника Мерзляк, Номировский, Поляков 11 класс, Вентана-Граф, Просвещение:
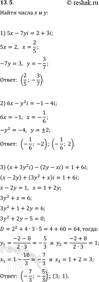
13.5. Найдите действительные числа х и y из равенства:
1) 5x-7yi=2+3i;
2) 6x-y^2 i=-1-4i;
3) (x+3y^2 i)-(2y-xi)=1+6i.
*размещая тексты в комментариях ниже, вы автоматически соглашаетесь с пользовательским соглашением