Упр.13.37 ГДЗ Мерзляк 11 класс Углубленный уровень (Алгебра)
Решение #1

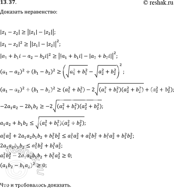
Рассмотрим вариант решения задания из учебника Мерзляк, Номировский, Поляков 11 класс, Вентана-Граф, Просвещение:
13.37. Докажите неравенство |z_1-z_2|>||z_1|-|z_2||.
*размещая тексты в комментариях ниже, вы автоматически соглашаетесь с пользовательским соглашением