Упр.13.2 ГДЗ Мерзляк 10 класс Базовый уровень (Алгебра)
Решение #1

Рассмотрим вариант решения задания из учебника Мерзляк, Номировский, Полонский 10 класс, Вентана-Граф:
13.2. Решите неравенство:
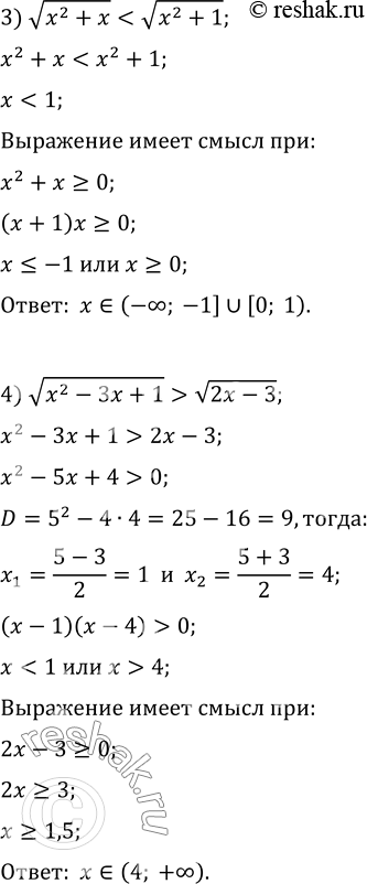
1) корень из (2x-4)>=корень из (5-x); 4) корень из (x^2-3x+1)>корень из (2x-3);
2) корень из x<корень из (x+1); 5) корень из (8-5x)>=корень из (x^2-16);
3) корень из (x^2+x)<корень из (x^2+1); 6) корень из (x^2-3x+2)<корень из (2x^2-3x+1).
*размещая тексты в комментариях ниже, вы автоматически соглашаетесь с пользовательским соглашением