Упр.11.8 ГДЗ Мерзляк 11 класс Углубленный уровень (Алгебра)
Решение #1

Рассмотрим вариант решения задания из учебника Мерзляк, Номировский, Поляков 11 класс, Вентана-Граф, Просвещение:
11.8. Вычислите определённый интеграл:
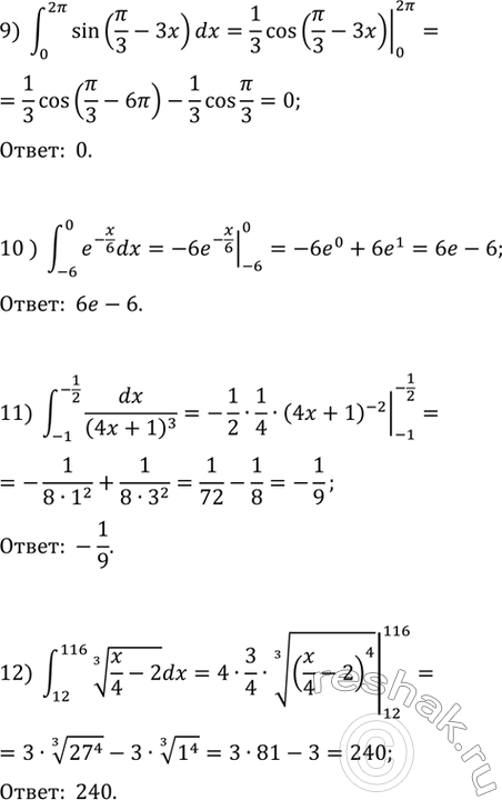
1) (1; 3)(4x^3-4x+3)dx; 2) (п/2; 3п/2)cos(x/3)dx; 3) (п/6; п/3)3dx/sin^2(2x);
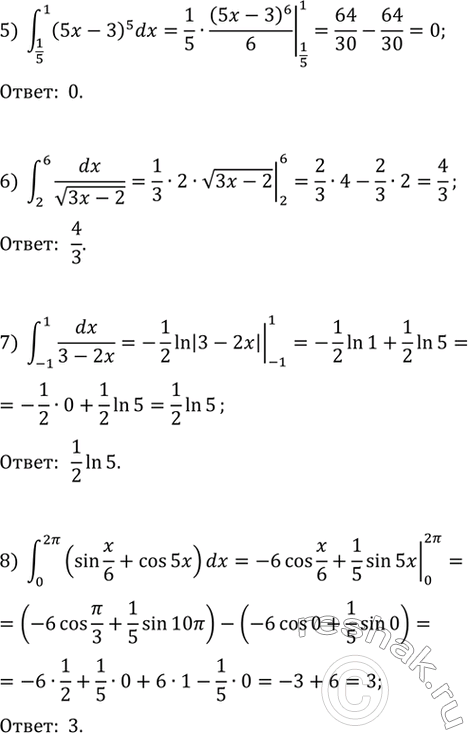
4) (-2; 1)(x-3)^2dx; 7) (-1; 1)dx/(3-2x); 10) (-6; 0)e^(-x/6)dx;
5) (1/5; 1)(5x-3)^5dx; 8) (0; 2п)(sin(x/6)+cos(5x))dx; 11) (-1; -1/2)dx/(4x+1)^3;
6) (2; 6)dx/v(3x-2); 9) (0; 2п)sin(п/3-3x)dx; 12) (12; 116)(x/4-2)^(1/3)dx.
*размещая тексты в комментариях ниже, вы автоматически соглашаетесь с пользовательским соглашением