Упр.11.21 ГДЗ Мерзляк 11 класс Углубленный уровень (Алгебра)
Решение #1

Рассмотрим вариант решения задания из учебника Мерзляк, Номировский, Поляков 11 класс, Вентана-Граф, Просвещение:
11.21. Найдите площадь фигуры, ограниченной линиями:
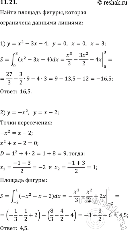
1) y=x^2-3x-4, y=0, x=0, x=3;
2) y=-x^2, y=x-2;
3) y=x^2-4, y=4-x^2;
4) y=x^2-2x, y=x;
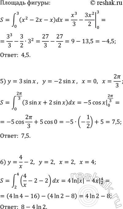
5) y=3sin(x), y=-2sin(x), x=0, x=2п/3;
6) y=4/x-2, y=2, x=2, x=4.
*размещая тексты в комментариях ниже, вы автоматически соглашаетесь с пользовательским соглашением