Упр.11.20 ГДЗ Мерзляк 11 класс Углубленный уровень (Алгебра)
Решение #1

Рассмотрим вариант решения задания из учебника Мерзляк, Номировский, Поляков 11 класс, Вентана-Граф, Просвещение:
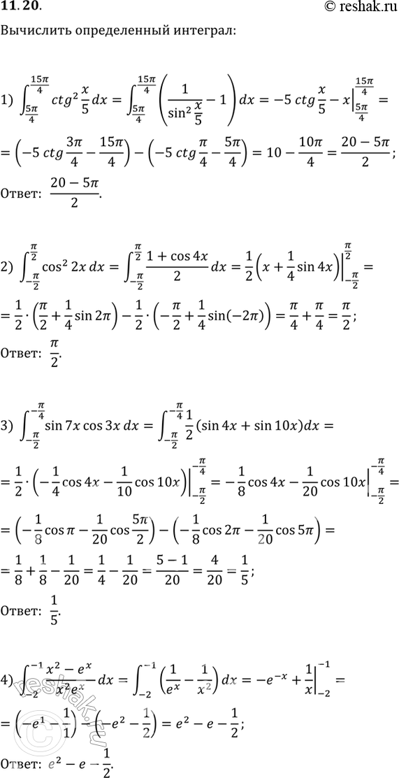
11.20. Вычислите определённый интеграл:
1) (5п/4; 15п/4)ctg^2(x/5)dx; 3) (-п/2; -п/4)sin(7x)cos(3x)dx;
2) (-п/2; п/2)cos^2(2x)dx; 4) (-2; -1)(x^2-e^x)/(x^2 e^x)dx.
*размещая тексты в комментариях ниже, вы автоматически соглашаетесь с пользовательским соглашением