Упр.11.2 ГДЗ Мерзляк 10 класс Базовый уровень (Алгебра)
Решение #1

Рассмотрим вариант решения задания из учебника Мерзляк, Номировский, Полонский 10 класс, Вентана-Граф:
11.2. Решите уравнение:
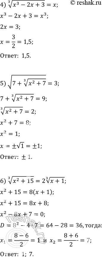
1) (2x-2)^(1/4)=2; 4) (x^3-2x+3)^(1/3)=x;
2) (x-4)^(1/3)=2; 5) корень из (7+(x^2+7)^(1/3))=3;
3) (x-6)^(1/5)=-3; 6) (x^2+15)^(1/3)=2(x+1)^(1/3).
*размещая тексты в комментариях ниже, вы автоматически соглашаетесь с пользовательским соглашением