Упр.11.19 ГДЗ Мерзляк 10 класс Базовый уровень (Алгебра)
Решение #1

Рассмотрим вариант решения задания из учебника Мерзляк, Номировский, Полонский 10 класс, Вентана-Граф:
11.19. Решите уравнение, используя метод замены переменной:
1) x^2-5x+16-3корень из (x^2-5x+20)=0;
2) x^2+4-5корень из (x^2-2)=0;
3) корень из (x^2-3x+5)+x^2=3x+7;
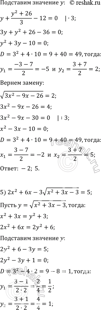
4) корень из (3x^2-9x-26)=12+3x-x^2;
5) 2x^2+6x-3корень из (x^2+3x-3)=5;
6) корень из (xx^(1/5))+(xкорень из x)^(1/5)=72.
*размещая тексты в комментариях ниже, вы автоматически соглашаетесь с пользовательским соглашением