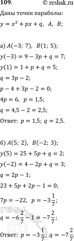
Упр.109 ГДЗ Макарычев Миндюк 9 класс (Углубленный) (Алгебра)
Решение #1

Рассмотрим вариант решения задания из учебника Макарычев, Миндюк, Нешков 9 класс, Просвещение:
109. График функции y=x^2+px+q проходит через точки A и B. Найдите р и q, если:
а) A(-3; 7) и B(1; 5); б) A(5; 2) и B(-2; 3).
*размещая тексты в комментариях ниже, вы автоматически соглашаетесь с пользовательским соглашением