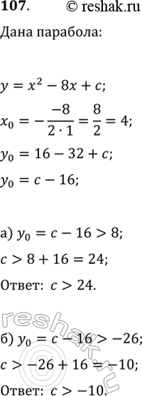
Упр.107 ГДЗ Макарычев Миндюк 9 класс (Углубленный) (Алгебра)
Решение #1

Рассмотрим вариант решения задания из учебника Макарычев, Миндюк, Нешков 9 класс, Просвещение:
107. При каких значениях c парабола y=x^2-8x+c расположена выше прямой: а) у=8; б) у=—26?
*размещая тексты в комментариях ниже, вы автоматически соглашаетесь с пользовательским соглашением