Упр.100 ГДЗ Колягин Ткачёва 10 класс (Алгебра)
Решение #1
Решение #2

Рассмотрим вариант решения задания из учебника Колягин, Ткачёва, Фёдорова 10 класс, Просвещение:
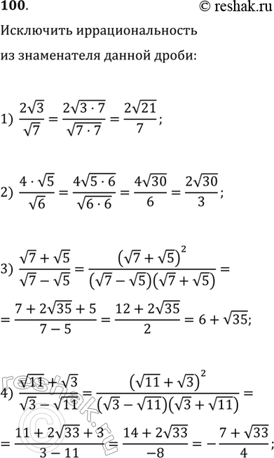
Исключить иррациональность из знаменателя дроби:
1) 2 корень 3/7 корень 7;
2) 4* корень 5/ корень 6;
3) (корень 7 + корень 5)/ (корень 7- корень 5);
4) (корень 11 + корень 3)/ (корень 3 - корень 11).
*размещая тексты в комментариях ниже, вы автоматически соглашаетесь с пользовательским соглашением