Упр.10.5 ГДЗ Мерзляк 11 класс Углубленный уровень (Алгебра)
Решение #1

Рассмотрим вариант решения задания из учебника Мерзляк, Номировский, Поляков 11 класс, Вентана-Граф, Просвещение:
10.5. Для функции f на промежутке I найдите первообразную F, удовлетворяющую данному условию:
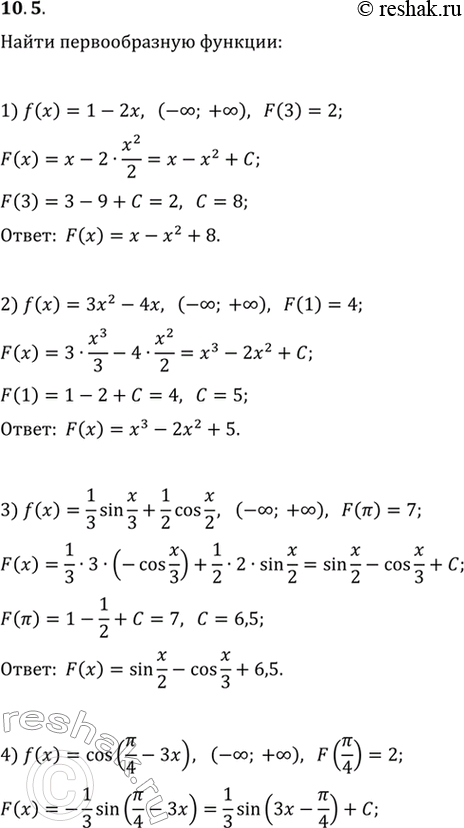
1) f(x)=1-2x, I=(-бесконечность; +бесконечность), F(3)=2;
2) f(x)=3x^2-4x, I=(-бесконечность; +бесконечность), F(1)=4;
3) f(x)=(1/3)sin(x/3)cos(x/2), I=(-бесконечность; +бесконечность), F(п)=7;
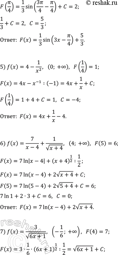
4) f(x)=cos(п/4-3x), I=(-бесконечность; +бесконечность), F(п/4)=2;
5) f(x)=4-1/x^2, I=(0; +бесконечность), F(1/4)=1;
6) f(x)=7/(x-4)+1/v(x+4), I=(4; +бесконечность), F(5)=6;
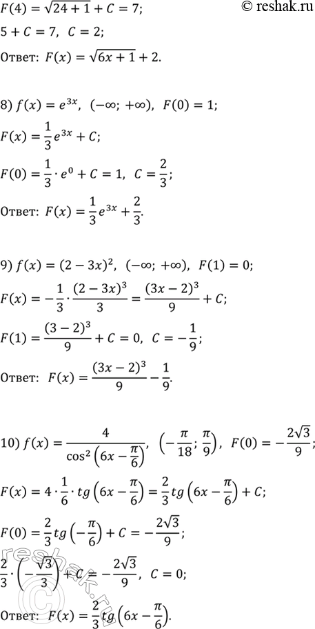
7) f(x)=3/v(6x+1), I=(-1/6; +бесконечность), F(4)=7;
8) f(x)=e^(3x), I=(-бесконечность; +бесконечность), F(0)=1;
9) f(x)=(2-3x)^2, I=(-бесконечность; +бесконечность), F(1)=0;
10) f(x)=4/cos^2(6x-п/6), I=(-бесконечность/18; п/9), F(0)=-2v3/9.
*размещая тексты в комментариях ниже, вы автоматически соглашаетесь с пользовательским соглашением