Упр.10.2 ГДЗ Мордкович Семенов 7 класс (Алгебра)
Решение #1

Рассмотрим вариант решения задания из учебника Мордкович, Семенов, Александрова 7 класс, Бином:
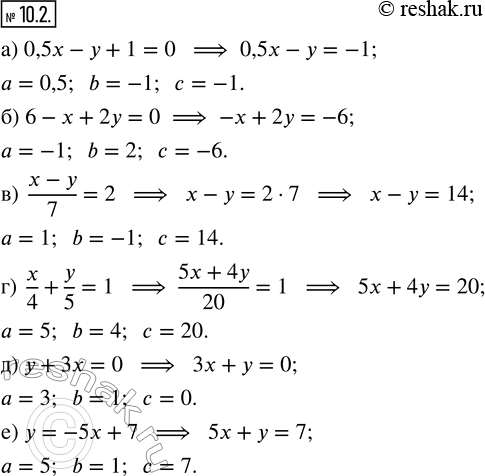
10.2. Приведите данное уравнение к виду ах + bу = с и назовите коэффициенты а, b и с:
а) 0,5x — у + 1 = 0; в) (x-y)/7 = 2; д) у + 3х = 0;
б) 6 — х + 2у = 0; г) x/4 + y/5 = 1; е) у = —5x + 7.
*размещая тексты в комментариях ниже, вы автоматически соглашаетесь с пользовательским соглашением