Упр.10.15 ГДЗ Мерзляк 10 класс Базовый уровень (Алгебра)
Решение #1

Рассмотрим вариант решения задания из учебника Мерзляк, Номировский, Полонский 10 класс, Вентана-Граф:
10.15. Вычислите значение выражения:
1) 12^(1/3)·6^(2/3)·(0,5)^(1/3);
2) 25^1,5+(0,25)^(-0,5)-81^0,75;
3) (1/16)^(-3/4)+(1/8)^(-2/3)·(0,81)^(-0,5);
4) 16^(1/8)·8^(-5/6)·4^1,5;
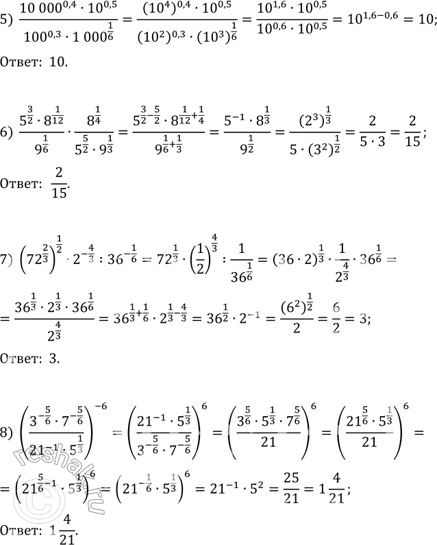
5) (10 000^0,4·10^0,5)/(100^0,3·1 000^(1/6));
6) (5^(3/2)·8^(1/12))/9^(1/6)·8^(1/4)/(5^(5/2)·9^(1/3));
7) (72^(2/3))^(1/2)·2^(-4/3):36^(-1/6);
8) (((3^(-5/6)·7^(-5/6))/(21^(-1)·5^(1/3)))^(-6).
*размещая тексты в комментариях ниже, вы автоматически соглашаетесь с пользовательским соглашением