Упр.1.4 ГДЗ Мерзляк 11 класс Углубленный уровень (Алгебра)
Решение #1

Рассмотрим вариант решения задания из учебника Мерзляк, Номировский, Поляков 11 класс, Вентана-Граф, Просвещение:
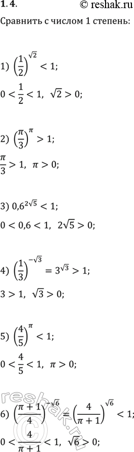
1.4. Сравните с числом 1 степень:
1) (1/2)^(v2); 3) 0,6^(2v5); 5) (4/5)^п;
2) (п/3)^п; 4) (1/3)^(-v3); 6) ((п+1)/4)^(-v6).
*размещая тексты в комментариях ниже, вы автоматически соглашаетесь с пользовательским соглашением