Упр.1.13 ГДЗ Мерзляк 11 класс Углубленный уровень (Алгебра)
Решение #1

Рассмотрим вариант решения задания из учебника Мерзляк, Номировский, Поляков 11 класс, Вентана-Граф, Просвещение:
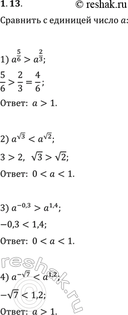
1.13. Сравните с числом 1 положительное число а, если:
1) a^(5/6)>a^(2/3); 3) a^(-0,3)>a^(1,4);
2) a^(v3) < a^(v2); 4) a^(-v7) < a^(1,2).
*размещая тексты в комментариях ниже, вы автоматически соглашаетесь с пользовательским соглашением