Упр.592 ГДЗ Атанасян 10-11 класс по геометрии (Геометрия)

Решение #1

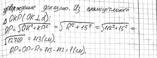
Изображение 592 Радиус сферы равен 112 см. Точка, лежащая на плоскости, касательной к сфере, удалена от точки касания на 15 см. Найдите расстояние от этой точки до ближайшей к ней...
Дополнительное изображение

Рассмотрим вариант решения задания из учебника Атанасян, Бутузов 11 класс, Просвещение:
592 Радиус сферы равен 112 см. Точка, лежащая на плоскости, касательной к сфере, удалена от точки касания на 15 см. Найдите расстояние от этой точки до ближайшей к ней точки сферы.
*Цитирирование задания со ссылкой на учебник производится исключительно в учебных целях для лучшего понимания разбора решения задания.
*размещая тексты в комментариях ниже, вы автоматически соглашаетесь с пользовательским соглашением