Упр.509 ГДЗ Атанасян 10-11 класс по геометрии (Геометрия)
Решение #1
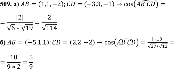
Решение #2

Рассмотрим вариант решения задания из учебника Атанасян, Бутузов 11 класс, Просвещение:
509 Вычислите косинус угла между прямыми AB и CD, если: а) A (7; -8; 15), B (8; -7; 13), C (2; -3; 5), D (-1; 0; 4); б) A (8; -2; 3), B(3; -l;4), C(5; -2; 0), D(7; 0; -2).
*размещая тексты в комментариях ниже, вы автоматически соглашаетесь с пользовательским соглашением