№18 ГДЗ Рымкевич 10-11 класс (Физика)
Решение #1
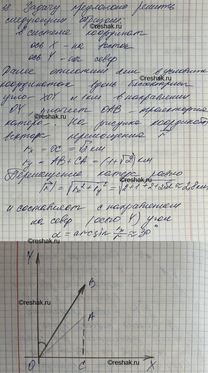
Решение #2
Решение #3

Рассмотрим вариант решения задания из учебника Рымкевич 10-11 класс, Дрофа:
Катер прошел по озеру в направлении на северо-восток 2 км, а затем в северном направлении еще 1 км. Найти геометрическим построением модуль и направление перемещения.
*размещая тексты в комментариях ниже, вы автоматически соглашаетесь с пользовательским соглашением